미분계수 원과 접선, 접선의 방정식 2문제 (풀이 유의사항)

수능 문제의 특징은 단원 통합형의 문제가 많이 나온다는 것인데요. 그럴 수 밖에 없는 것이 수학1, 수학2, 미적분이 전부 출제되는데 30문항으로 평가를 해야합니다. 그리고 학교에서 배울때에 선생님이 중요하다고 별표친 것들이 30개뿐일까요? 300개도 넘을텐데 그 중요한 문제들을 골고루 섞어서 정말 잘 알고 있는지를 판단해야하는 것이 수능입니다. 그렇기 때문에 한문제로 4~5가지 이상의 개념을 복합적으로 알고 있는지 묻는 것이 당연합니다.
그래서 다행스럽게도 기출을 잘 보면 수능이 그리 어렵지만은 않습니다. 통합형 문제는 어쩔 수 없이 비슷하게 나올 수 밖에 없고 신유형이라고 하더라도 중요하게 생각하는 개념을 약간 다르게 변형 한 것 뿐입니다.
물론 그 약간의 변형이 수험생들에게는 스트레스 요인이겠지만 결국 핵심은 줄기를 잘 따라가느냐 못하느냐의 차이입니다.
기본을 잘 다져놓으면 결국은 시간 문제일 뿐 원하는 수준까지 도달하기 때문입니다. 오늘 접선의 방정식 관련해서 자주 출제되는 두가지 문항을 살펴보면서 핵심을 잘 보시길 바랍니다.
1. 항등식이 들어간 접선의 방정식

주제는 미적분이지만 수2 문제를 가져왔습니다.
아주 자주 나오는 유형중 하나입니다. 빈출 유형인데 의외로 많이 틀리는 문제입니다.
이문제도 풀이의 핵심은 결국 미분을 구해서 푸는 것은 맞는데 미분을 몰라서 틀리는 문제는 아닙니다.
방정식이나 함수의 수식이 나오면 항등식과 자주 엮어서 문제가 출제됩니다. 위 문제는 3점 문항을 벗어나길 어려운 기본유형이지만 문제를 볼 때 출제자와 소통을 해야하는 과정을 보셨으면 합니다.
출제자가 묻고 있는 것을 파악하는게 먼저이고, 그 다음은 내가 출제자에게 답을 주는 단계인데 답을 줄 때는 출제자가 물어볼 때 힌트를 전부 숨겨둡니다. 그 숨겨둔 힌트를 내 언어로 바꿔서 해석하는 습관을 매번 기르시기 바랍니다.
어떤 문제든 그런 훈련을 계속하고 그런 사고를 계속 해야합니다.
위 문제는 "실수 a의 값에 관계 없이 항상" 이라는 말이 있습니다. 중학생때 배우는 항등식의 개념이 나옵니다. 고1에 올라와서 여러가지 방정식을 배우면서 인수정리 등 복잡한 형태로 발전된 항등식 개념을 풀었을텐데 똑같습니다.
"모든 a에 관하여", "임의의 a에 대하여" 등등 같은 의미를 갖고 있으니 참고 하시기 바랍니다.
위 문제는 주어진 식이 a에 대한 항등식이기 때문에 a에 대해서 정리를 해주면 x의 값이 결정되는 데 그점은 a가 어떤 값이든 상관없이 항상 그 값입니다. 문제에서 항상 두점을 지난다는 걸 보니 x가 두개가 나올 것이고 그 x를 찾아야 문제가 풀리는 문제인 셈입니다.
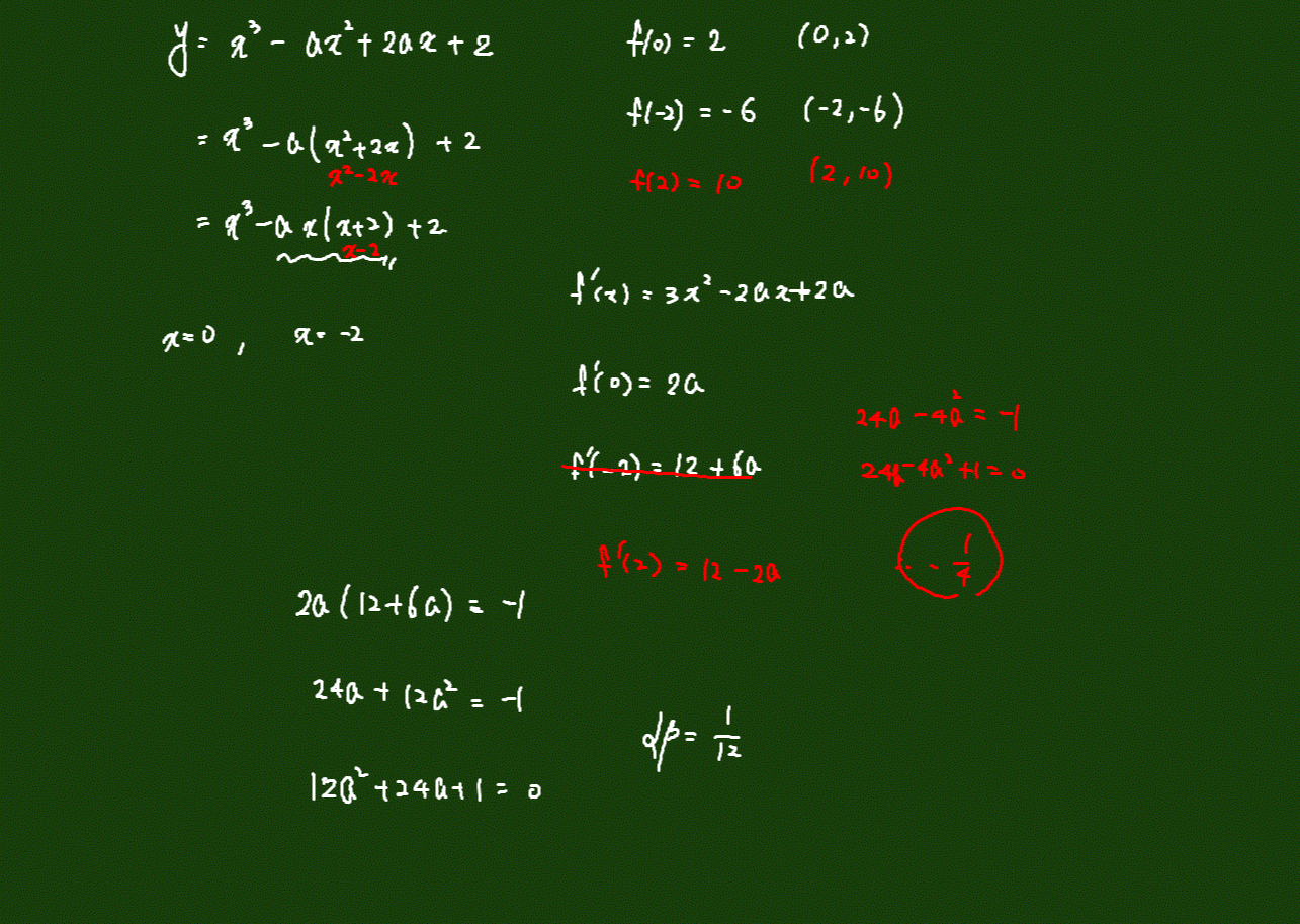
<풀이>

위 풀이는 중간에 인수분해 계산 실수가 있었으니 빨간색 풀이를 보시기 바랍니다.
a에 관해서 정리해주면 ax(x-2)가 중간에 나오는데, a에 상관 없는 값을 가지려면 저 곱셈식이 0이 되는 x 값을 찾으면 됩니다.
x=0, x=2일때 두가지 경우가 나올 것이고 항상 (0.f(0)) , (2,f(2))를 지나는 함수가 됩니다.
두 점에서의 접선이 서로 수직이라고 했으니 기울기의 곱이 -1 이 되는 a를 찾아주면 됩니다.
x=0일 때 미분계수와, x=2일 때 미분 계수가 a에 관한 식으로 나오는데, 곱해주면 이차식이 나오고 그 값이 -1이 되면 주어진 조건에 맞게됩니다.
간단히 이차방정식이 나오면 실수 a의 곱은 근과계수와의 관계에서 풀리게 됩니다.
이 문제의 경우는 결국 미분은 너무 간단하고, 방정식에서 기울기 조건도 간단합니다.
a값을 찾는 방법을 알고 있니? 접근법 알고 있니? 하는 문제인 셈입니다.
이런 유형의 문제에서는 인수분해를 실수하거나 계산 실수로 틀리는 경우가 종종 있습니다. 위 풀이처럼 익숙하게 쓱쓱 풀다보니 답이 이상하게 나올 수도 있다는 뜻입니다. 계산실수에 주의해야 하며, 항등식 조건은 이 문제를 제외하고도 생각보다 자주 나오는 유형이니 접근하는 방식을 꼭 숙지하고 가시길 바랍니다.
a로 정리해서 곱의 형태로 나오면 끝난다!!
2. 접선의 방정식이 주어진 문제 유형

위 문제도 자주 출제 되는 유형의 문제이지만 풀이하는 사람 입장에서는 난이도가 있는 문제들을 풀다보면 의외로 헷갈려하는 문제입니다.
미지수가 포함된 곡선의 방정식이 주어지고, 그 곡선에 접하는 접선의 방정식을 주는 경우, 또는 접선의 기울기와 또 다른 한점을 주는 경우 등 같은 유형으로 볼 수 있습니다.
위에서도 우리가 써먹을 수 있는 힌트들을 출제자가 어떻게 분포해놨는지 파악해야합니다.
접선의 방정식이 주어졌기 때문에 우선 기울기를 알 수 있습니다. 물론 지나는 점도 찾아보면 찾을 수 있지만 곡선에 미지수가 있기 때문에 그것도 잘 활용해보면 좋을 것 같습니다.
이 문제의 경우는 접근 방식이 두가지가 있습니다.
이미지에 보시는대로 결국 접선도 만나는 점이기 때문에 곡선과 직선을 연립해서 풀이한 다음, 연립방정식의 해가 접점이 되도록 구성하면 됩니다.
두 번째 접근은 문제의 출제자가 의도한 정석의 풀이입니다. 두 가지 다 알아두면 좋으나 실전에서는 저라면 연립을 더 선호 할 것 같습니다.
접점을 임의의 (t,f(t))로 두고 접선의 방정식을 구합니다.
그러면 t를 포함한 접선의 방정식이 될 것이고, 그 값이 y=x+3 이라고 하는 주어진 접선과 일치하도록 해서 t를 구한 다음 본래식에 t를 대입해서 a를 구하는 방식입니다.
풀이 보도록 하겠습니다.
<풀이1>

곡선과 접선을 연립하면 z에 대한 삼차 방정식의 풀이로 나오는데 보통 이런 문제는 미지수를 가지고서 인수분해가 가능하도록 구성될 수 밖에 없습니다.
인수분해해서 해를 구하면 조건을 만족하는 x의 해가 3개가 나오는데, 그 점이 접선과 만나는 점이기 때문에 접선이 됩니다. 물론 곡선식이 삼차식이라 접선이 아닌점에서도 만날 수 있겠지만 포인트는 접점을 구하겠다는 것이 아니라 접선이 되도록 하는 a를 구하는 것이기 때문에 x의 각 값에 맞는 미분계수를 구해주고, 그 값이 주어진 접선의 방정식의 기울기와 같으면 해결됩니다.
조건을 만족하는 a의 값이 1 또는 2가 나와서 문제가 풀리게 됩니다.
<풀이2>

두 번째는 정석적인 접근인데 t점을 기준으로 접선의 방정식을 구합니다.
복잡해보이지만 중간에 노란색이 접선의 방정식으로 나오게 됩니다.
이 값이 주어진 접선과 같은 식으로 놓고 문제를 풀면 t를 만족하는 값이 두개가 나오는데 역시 그 t를 f'(t)에 대입해서 1이 되도록 문제를 풀어주면 해결되는 문제입니다.
풀이가 다양한 문제는 분명 좋은 문제입니다. 위 문제도 결론은 3점을 벗어나긴 힘든 문제입니다. 이유는 접근하는 개념을 한개로 한정했기 때문인데요. 문제를 접근할 때 개념을 두개 세개 섞는 순간 문제의 난이도는 올라갑니다.
3. 마무리
오늘 가져온 두문제는 전부 하나의 개념만 생각해 두면 나머지는 단순 계산만 하면 되는 문제들이라 어렵지는 않습니다.
하지만 계산실수의 위험이 높은 문제 유형이 오늘 두 문제에 있습니다. 미분을 못해서 못푸는 문제는 여테 수능에서 본적이 없습니다. 결론은 문제 구성을 얼마나 잘 파악하고 접근을 어떻게 하는가 입니다
.
수능을 잘보기 위해서는 당연한 이야기지만 중3 도형, 고1 방부등식, 수1,수2 의 개념들을 틈틈히 봐두는 것이 중요합니다.
꼭 올해 좋은 성과 내시길 기대합니다.
'수학하는 킴꼬망이 > 미적분' 카테고리의 다른 글
| 2025 수능특강 미적분 삼각함수 미분법 주요 문제 풀이법 (0) | 2024.03.08 |
|---|---|
| 2025학년도 수능특강 미적분 수열의 극한 기본문제 풀이 유의사항 (0) | 2024.03.04 |